Sermaye Piyasası Kurulu (SPK), Oylum Sınai Yatırımlar AŞ (OYLUM) pay piyasasında gerçekleştirilen işlemlerle ilgili yaptığı inceleme sonucunda 23 kişiye toplam 26.548.892,20 TL tutarında idari para cezası uygulanmasına karar verdi.
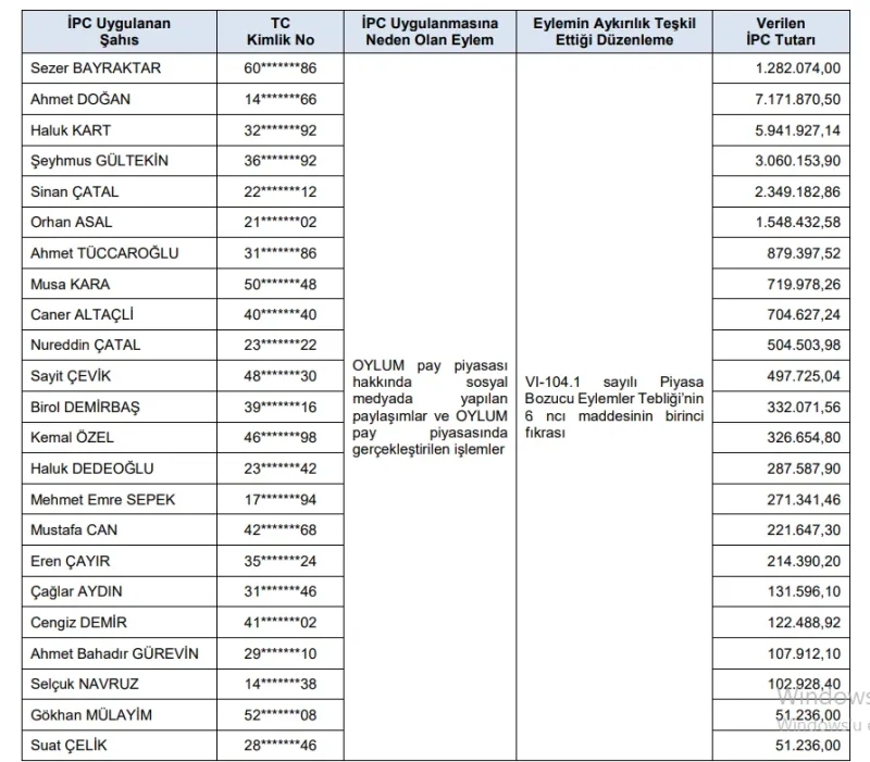
SPK'nın haftalık bülteninde yer alan bilgilere göre, sosyal medya platformları üzerinden yapılan yönlendirici paylaşımlar ve piyasa bozucu işlemler nedeniyle ceza alan isimler arasında Ahmet Doğan, Haluk Kart, Şeyhmus Gültekin, Sinan Çatal, Orhan Asal gibi yatırımcılar bulunuyor.
En yüksek ceza 7.171.870,50 TL ile Ahmet Doğan’a kesilirken, diğer yatırımcılara verilen cezalar da yüz binlerce lirayı buldu.
Bültende, Oylum Sınai Yatırımlar (#OYLUM) pay piyasasıyla ilgili sosyal medya paylaşımları ve hisse işlemleri gerekçe gösterilerek; Ahmet Doğan'a 7 milyon 171 bin 870 lira, Haluk Kart'a 5 milyon 941 bin 927 lira, Şeyhmus Gültekin'e 3 milyon 60 bin 153 lira, Sinan Çatal'a 2 milyon 349 bin 182 lira, Orhan Asal'a 1 milyon 548 bin 432 lira, Ahmet Tüccaroğlu'na 879 bin 397 lira, Musa Kara'ya 719 bin 978 lira, Caner Altaçli'ya 407 bin 627 lira, Nureddin Çatal'a 504 bin 503 lira, Sayit Çevik'e 497 bin 725 lira, Birol Demirbaş'a 332 bin 71 lira, Kemal Özel'e 326 bin 654 lira, Haluk Dedeoğlu'na 287 bin 587 lira, Mehmet Emre Sepek'e 271 bin 341 lira, Mustafa Can'a 221 bin 647 lira, Eren Çayır'a 214 bin 390 lira, Çağlar Aydın'a 131 bin 596 lira, Cengiz Demir'e 122 bin 488 lira, Ahmet Bahadır Gürevin'e 107 bin 912 lira, Selçuk Navruz'a 102 bin 928 lira, Gökhan Mülayim ve Suat Çelik'e de 51 bin 236'şar lira idari para cezası kararı çıktı.
Yayla Enerji (#YAYLA) pay piyasasındaki işlemleri inceleyen Kurul; YAYLA hissesiyle ilgili paylaşımları ve hissedeki işlemleri nedeniyle Muhammed Ali Dalkıran'a 3 milyon 917 bin 61 lira, Ali Kozak'a ise 1 milyon 463 bin 577 lira İPC uygulanacağını duyurdu.
SEZER BAYRAKTAR 3 HİSSEDE BİRDEN YAKALANDI
Sezer Bayraktar isimli kişi ERSU, YAYLA ve OYLUM hisseleri olmak üzere toplam 3 şirketin hisseleriyle ilgili sosyal medya paylaşımları ve hissedelerdeki işlemleri nedeniyle, ERSU, YAYLA ve OYLUM hisseleri için 1 milyon 282 bin 74'er liradan toplam 3 milyon 846 bin 222 lira idari para cezasına çarptırıldı.
SPK, VI-104.1 sayılı Piyasa Bozucu Eylemler Tebliği’nin 6. maddesi kapsamında, OYLUM pay piyasasında sosyal medya aracılığıyla yatırımcıları yönlendirerek yapay fiyat hareketleri oluşturulduğu gerekçesiyle söz konusu yaptırımları uyguladı.


